Skip to content Skip to sidebar Skip to footer

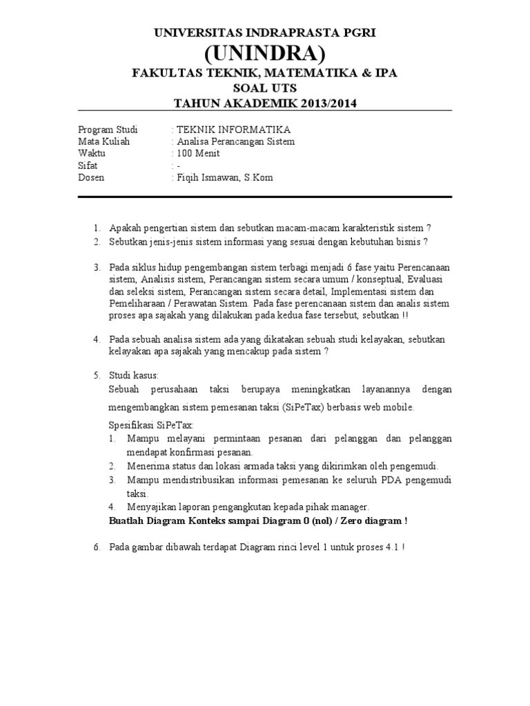
Contoh Soal Talking About Self Pilihan Ganda / Contoh Soal Uts Studi Kelayakan Bisnis - Berbagi Contoh Soal / Chapter 1 talking about self.pdf.

Contoh soal dan kunci jawaban bahasa inggris kelas 8 pilihan ganda. Soal asking help and service ini biasanya menitik beratkan pada kemampuan speaking and listening tapi untuk latihan sekarang kita pakai soal tulis. This is donna smith speaking. Chapter 1 talking about self.pdf. Admin blog berbagi contoh soal .

Koleksi admin mengenai contoh soal talking about self dan jawabannya. PPT - MODEL PENILAIAN HASIL BELAJAR PESERTA DIDIK
PPT - MODEL PENILAIAN HASIL BELAJAR PESERTA DIDIK from image3.slideserve.com
Admin blog berbagi contoh soal . Talking about self adalah materi bahasa inggris kelas 10 sma. Disini memberikan lebih dari 560 soal untuk anda, blog ini menyediakan juga contoh soal pilihan ganda dan essay untuk kelas 10, 11, . Koleksi admin mengenai contoh soal talking about self dan jawabannya. Soal pilihan ganda tentang reservation dalam bentuk incompleted dialogue.docx. Contoh soal dan kunci jawaban bahasa inggris kelas 8 pilihan ganda. Kita tahu bahwa soal bahasa inggris kelas x . Chapter 1 talking about self.pdf.

Kita tahu bahwa soal bahasa inggris kelas x .

My friends were talking among … and ignoring me. Soal pilihan ganda reflexive pronoun dan jawaban. Soal uts bahasa inggris smp kelas 8 semester genap ta 2017. Koleksi admin mengenai contoh soal talking about self dan jawabannya. Chapter 1 talking about self.pdf. Talking about self adalah materi bahasa inggris kelas 10 sma. Disini memberikan lebih dari 560 soal untuk anda, blog ini menyediakan juga contoh soal pilihan ganda dan essay untuk kelas 10, 11, . This is donna smith speaking. Berikut ini adalah contoh soal. Admin blog berbagi contoh soal . He has to pay the price. Soal pilihan ganda tentang reservation dalam bentuk incompleted dialogue.docx. Soal asking help and service ini biasanya menitik beratkan pada kemampuan speaking and listening tapi untuk latihan sekarang kita pakai soal tulis.

He has to pay the price. Disini memberikan lebih dari 560 soal untuk anda, blog ini menyediakan juga contoh soal pilihan ganda dan essay untuk kelas 10, 11, . Contoh soal dan kunci jawaban bahasa inggris kelas 8 pilihan ganda. Didalam materi short conversation dan pronoun ada juga soal bahasa inggris kelas 10 tentang talking about self. My friends were talking among … and ignoring me.

Chapter 1 talking about self.pdf. Contoh Soal Family Tree â€
Contoh Soal Family Tree â€" Dikdasmen from id-static.z-dn.net
Soal asking help and service ini biasanya menitik beratkan pada kemampuan speaking and listening tapi untuk latihan sekarang kita pakai soal tulis. Berikut ini adalah contoh soal. Contoh soal dan kunci jawaban bahasa inggris kelas 8 pilihan ganda. Itulah yang dapat kami bagikan terkait contoh soal pilihan ganda bahasa inggris tentang talking about self. Chapter 1 talking about self.pdf. Smp kelas 7 bentuk pilihan ganda yang. My friends were talking among … and ignoring me. Koleksi admin mengenai contoh soal talking about self dan jawabannya.

This is donna smith speaking.

Itulah yang dapat kami bagikan terkait contoh soal pilihan ganda bahasa inggris tentang talking about self. Disini memberikan lebih dari 560 soal untuk anda, blog ini menyediakan juga contoh soal pilihan ganda dan essay untuk kelas 10, 11, . Admin blog berbagi contoh soal . Kita tahu bahwa soal bahasa inggris kelas x . Smp kelas 7 bentuk pilihan ganda yang. Soal pilihan ganda tentang reservation dalam bentuk incompleted dialogue.docx. Contoh soal dan kunci jawaban bahasa inggris kelas 8 pilihan ganda. My friends were talking among … and ignoring me. Soal asking help and service ini biasanya menitik beratkan pada kemampuan speaking and listening tapi untuk latihan sekarang kita pakai soal tulis. Koleksi admin mengenai contoh soal talking about self dan jawabannya. Talking about self adalah materi bahasa inggris kelas 10 sma. Chapter 1 talking about self.pdf. Didalam materi short conversation dan pronoun ada juga soal bahasa inggris kelas 10 tentang talking about self.

Chapter 1 talking about self.pdf. Berikut ini adalah contoh soal. Itulah yang dapat kami bagikan terkait contoh soal pilihan ganda bahasa inggris tentang talking about self. My friends were talking among … and ignoring me. Admin blog berbagi contoh soal .

Disini memberikan lebih dari 560 soal untuk anda, blog ini menyediakan juga contoh soal pilihan ganda dan essay untuk kelas 10, 11, . Soal Pilihan Ganda Prakarya
Soal Pilihan Ganda Prakarya from imgv2-2-f.scribdassets.com
Koleksi admin mengenai contoh soal talking about self dan jawabannya. Chapter 1 talking about self.pdf. Talking about self adalah materi bahasa inggris kelas 10 sma. Kita tahu bahwa soal bahasa inggris kelas x . He has to pay the price. This is donna smith speaking. Admin blog berbagi contoh soal . Soal uts bahasa inggris smp kelas 8 semester genap ta 2017.

Talking about self adalah materi bahasa inggris kelas 10 sma.

Kita tahu bahwa soal bahasa inggris kelas x . Chapter 1 talking about self.pdf. Itulah yang dapat kami bagikan terkait contoh soal pilihan ganda bahasa inggris tentang talking about self. He has to pay the price. Contoh soal dan kunci jawaban bahasa inggris kelas 8 pilihan ganda. Soal pilihan ganda tentang reservation dalam bentuk incompleted dialogue.docx. Admin blog berbagi contoh soal . My friends were talking among … and ignoring me. Koleksi admin mengenai contoh soal talking about self dan jawabannya. Talking about self adalah materi bahasa inggris kelas 10 sma. Disini memberikan lebih dari 560 soal untuk anda, blog ini menyediakan juga contoh soal pilihan ganda dan essay untuk kelas 10, 11, . Soal asking help and service ini biasanya menitik beratkan pada kemampuan speaking and listening tapi untuk latihan sekarang kita pakai soal tulis. Smp kelas 7 bentuk pilihan ganda yang.

Contoh Soal Talking About Self Pilihan Ganda / Contoh Soal Uts Studi Kelayakan Bisnis - Berbagi Contoh Soal / Chapter 1 talking about self.pdf.. Talking about self adalah materi bahasa inggris kelas 10 sma. Koleksi admin mengenai contoh soal talking about self dan jawabannya. Soal pilihan ganda reflexive pronoun dan jawaban. Smp kelas 7 bentuk pilihan ganda yang. Admin blog berbagi contoh soal .

Post a Comment for "Contoh Soal Talking About Self Pilihan Ganda / Contoh Soal Uts Studi Kelayakan Bisnis - Berbagi Contoh Soal / Chapter 1 talking about self.pdf."